【澳门十大信誉网赌大全新闻中心讯 数学统计学院】近日,数学统计学院计算数学团队赵秉新副教授课题组在流体力学国际权威期刊《Physics of Fluids》(JCR影响因子3.521)发表题为《Numerical investigation of 2D double-diffusive convection in rectangular cavities with different aspect ratios: Heat and mass transfer and flow characteristics》的研究论文,重点研究了热与溶质双扩散对流随浮力比变化的动力学特性。赵秉新副教授为论文第一和通讯作者,硕士生杨建青为第二作者。

双扩散对流通常发生在浮力驱动的流体流动中,在海洋学、天体物理学和化学工程等方面有广泛的应用,如温度和浓度共同作用产生的大洋环流、晶体生长、金属固化以及天然气化等都属于双扩散对流现象 ,因此研究双扩散对流的动力学行为对我们认识自然和指导工程应用具有重要意义。
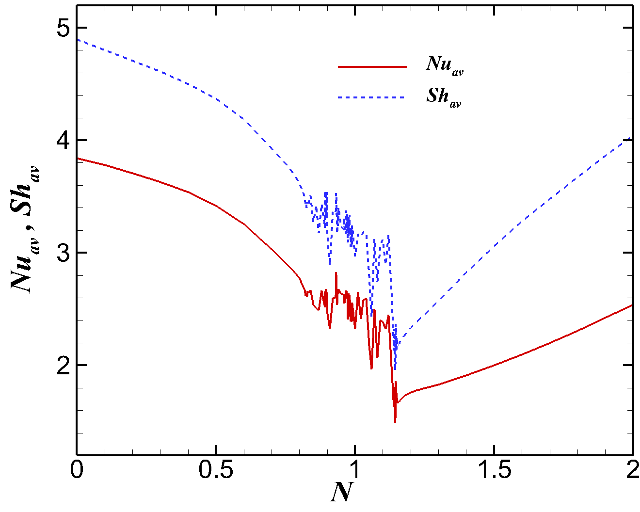
该论文采用高精度数值方法对矩形腔内二维双扩散对流进行了数值模拟,详细研究了在浮力作用下流场结构的演变过程,结果表明:随着浮力比从0增加到2,流体从温度主导的稳态到周期运动、混沌运动,又回到周期运动,最后回到浓度主导的稳态。文中还给出了Rayleigh 数、Lewis数、Prandtl数和腔体高宽比对流动稳定性及传热传质影响规律的重要结论。该研究结果深入揭示了二元流体流动特性及传热传质的复杂机理,采用的数值方法可推广应用到混合流体流热对流等问题的研究中。




Fig.4 Time history of streamline contours for N=0.98. (a)–(l) show12averaged distributions of time nodes in a complete period (dimensionless time interval isΔT=0.05572). Solid lines: counterclockwise; dashed lines: clockwise
据悉,本研究工作得到了国家自然科学基金 (11662016, 61963032)和宁夏自然基金项目(2020AAC03056,2021AAC03004)等的联合资助;宁夏科学工程计算与数据分析重点实验室为本研究提供了算力资源。
链接:
1.《Numerical investigation of 2D double-diffusive convection in rectangular cavities with different aspect ratios: Heat and mass transfer and flow characteristics》全文链接: https://doi.org/10.1063/5.0084537
2.数值方法已在TOP期刊《Computers & Mathematics with Applications》上发表,文章链接https://doi.org/10.1016/j.camwa.2021.05.002)
(责任编辑:龚旭峰)